技術士 過去問
令和3年度(2021年)
問8 (基礎科目「情報・論理に関するもの」 問8)
問題文
次の論理式と等価な論理式はどれか。
このページは閲覧用ページです。
履歴を残すには、 「新しく出題する(ここをクリック)」 をご利用ください。
MENU
あ
か
さ
た
な
は
ま
や
ら
あん摩マッサージ指圧師
1級管工事施工管理技士
1級建築施工管理技士
1級電気工事施工管理技士
1級土木施工管理技士
運行管理者(貨物)
2級ファイナンシャル・プランニング技能士(FP2級)
3級ファイナンシャル・プランニング技能士(FP3級)
貸金業務取扱主任者
危険物取扱者(乙4)
給水装置工事主任技術者
クレーン・デリック運転士
ケアマネジャー(介護支援専門員)
国内旅行業務取扱管理者
社会保険労務士(社労士)
大学入学共通テスト(国語)
大学入学共通テスト(地理歴史)
大学入学共通テスト(公民)
大学入学共通テスト(数学)
大学入学共通テスト(理科)
大学入学共通テスト(情報)
大学入学共通テスト(英語)
第三種電気主任技術者(電験三種)
宅地建物取引士(宅建士)
調剤報酬請求事務技能認定
賃貸不動産経営管理士
2級管工事施工管理技士
2級建築施工管理技士
2級電気工事施工管理技士
2級土木施工管理技士
JLPT(日本語能力)
建築物環境衛生管理技術者(ビル管理士)
問題文
このページは閲覧用ページです。
履歴を残すには、 「新しく出題する(ここをクリック)」 をご利用ください。
この過去問の解説 (3件)
01
正解は2です。
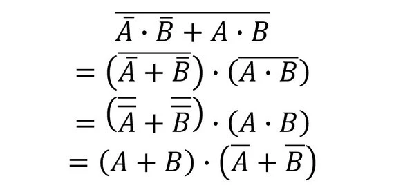
文中の「ただし~~」の部分はド・モルガンの定理が丁寧に説明されています。また二重否定は肯定です、とも書いてあります。
問題はド・モルガンの定理を複数回適用すれば解けます。
ド・モルガンの定理とは要するに以下の2つの式のことです。
A+B=A・B
A・B=A+B
まず全体に対してド・モルガンの定理を適用すると以下のようになります。
(
A・B)・(A・B)左側にもう一度ドモルガンの定理を適用すると
(
A+B)従って
(A+B)
右側にもう一度度モルガンの定理を適用すると
(A+B)
従って(A+B)・(A+B) になります。
※本来線は上部に記載しますが、フォントの都合で下線になっています。
また二重線も否定線と下線で表記しています。
参考になった数50
この解説の修正を提案する
02
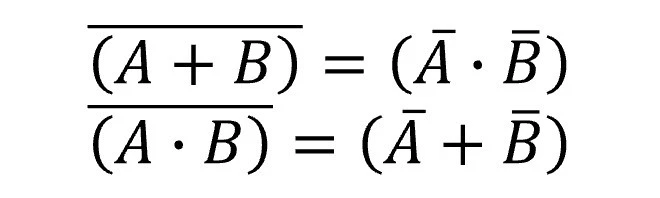
ドモルガンの法則です。
A+B=A・B
A・B=A+B
ベン図をかけば分かりますが、
(AまたはB)の否定=Aでない かつ Bでない
(AかつB)の否定=Aでない または Bでない ということです。
全体の否定(長いバー)を行う前の項は、
(AまたはB)でない、または AかつB です。
これを否定するので、
AまたはB、かつ (AかつB)ではない となり、
AまたはB、かつ (Aでない または Bでない) となります。
本選択肢が正解です。
ベン図を書くと分かりやすいです。
参考になった数10
この解説の修正を提案する
03
与えられた論理式と等価な論理式を求める問題です。
ド・モルガンの定理から、
問題は次のように展開されます。
正
冒頭解説どおりの論理式計算結果です。
参考になった数0
この解説の修正を提案する
前の問題(問7)へ
令和3年度(2021年) 問題一覧
次の問題(問9)へ