技術士 過去問
令和3年度(2021年)
問13 (基礎科目「解析に関するもの」 問13)

このページは閲覧用ページです。
履歴を残すには、 「新しく出題する(ここをクリック)」 をご利用ください。

問題

技術士試験 令和3年度(2021年) 問13(基礎科目「解析に関するもの」 問13) (訂正依頼・報告はこちら)

3次元直交座標系(x, y, z)
問題文の画像
  • 7
  • (0, 6, 1)
  • 4
  • (0, 1, 3)
  • (4, 14, 7)

次の問題へ

正解!素晴らしいです

残念...

この過去問の解説 (3件)

01

正解は 4 です。

divやrotの計算は、最近では定義式が与えられるようになったので、ぜひ得点源にしたいところです。

まず、rotVではベクトルを求めているので、値がスカラー(単一の数)になっている1や3は違います。

選択肢はいずれもy軸とz軸の値が異なっているのでどちらかを出せば答えは求められそうです。

ここではy軸の値を求めてみます。

∂Vx/∂zー∂Vz/∂x が6なのか1なのか14なのかがわかればいいということです。

∂Vx/∂zですが、Vx=y+zです。これをzで偏微分します(=z以外の文字は定数と思って微分する)

するとyは定数なので微分したら0ですし、zをzで微分したら1になります。

よって∂Vx/∂z=1となります。

つぎに∂Vz/∂xを求めます。Vz=z+2yです。これをxで偏微分するのですが、この式にはxが含まれていません。

よって微分すると0になります。つまり∂Vz/∂x=0です。

従って

∂Vx/∂zー∂Vz/∂x=1ですので正解は4となります。

ちなみにxとz軸はそれぞれ以下のようになります。

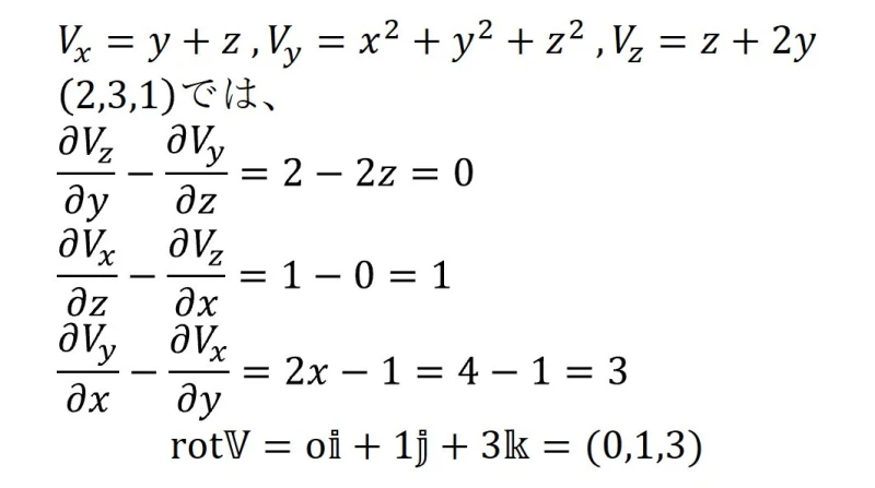
∂Vz/∂yー∂Vy/∂z=∂(z+2y)/∂yー∂(x2+y2+z2)/∂z=(2)-(2z)

点(2,3,1)なのでz=1を代入すれば

∂Vz/∂yー∂Vy/∂z=0

∂Vy/∂xー∂Vx/∂y=∂(x2+y2+z2)/∂xー∂(y+z)/∂y=(2x)-(1)

点(2,3,1)なのでx=2を代入すれば

∂Vy/∂zー∂Vx/∂y=4-1=3

よって(0,1,3)が正解

偏微分は一つの文字以外を定数とした普通の微分に過ぎないのでぜひトライしてください。

参考になった数40

02

偏微分についての問題です。

 

y軸について偏微分を行います。

Vx=y+z, Vz=z+2yより、

∂Vx/∂z=1, ∂Vz/∂x=0

 

よって∂Vx/∂zー∂Vz/∂x=1

 

y軸が1となっているのは(0,1,3)のみです。

選択肢4. (0, 1, 3)

適切です。

まとめ

偏微分は、その変数以外を定数として微分することです。

参考になった数9

03

3次元直交座標系(x, y, z)のベクトルVの、ある点での回転 rotV に関する問題です。

 

選択肢4. (0, 1, 3)

冒頭解説によります

参考になった数0