技術士 過去問
令和4年度(2022年)
問13 (基礎科目「解析に関するもの」 問1)
問題文
このページは閲覧用ページです。
履歴を残すには、 「新しく出題する(ここをクリック)」 をご利用ください。
問題
技術士試験 令和4年度(2022年) 問13(基礎科目「解析に関するもの」 問1) (訂正依頼・報告はこちら)
正解!素晴らしいです
残念...
MENU
あ
か
さ
た
な
は
ま
や
ら
あん摩マッサージ指圧師
1級管工事施工管理技士
1級建築施工管理技士
1級電気工事施工管理技士
1級土木施工管理技士
運行管理者(貨物)
2級ファイナンシャル・プランニング技能士(FP2級)
3級ファイナンシャル・プランニング技能士(FP3級)
貸金業務取扱主任者
危険物取扱者(乙4)
給水装置工事主任技術者
クレーン・デリック運転士
ケアマネジャー(介護支援専門員)
国内旅行業務取扱管理者
社会保険労務士(社労士)
大学入学共通テスト(国語)
大学入学共通テスト(地理歴史)
大学入学共通テスト(公民)
大学入学共通テスト(数学)
大学入学共通テスト(理科)
大学入学共通テスト(情報)
大学入学共通テスト(英語)
第三種電気主任技術者(電験三種)
宅地建物取引士(宅建士)
調剤報酬請求事務技能認定
賃貸不動産経営管理士
2級管工事施工管理技士
2級建築施工管理技士
2級電気工事施工管理技士
2級土木施工管理技士
JLPT(日本語能力)
建築物環境衛生管理技術者(ビル管理士)
問題文
このページは閲覧用ページです。
履歴を残すには、 「新しく出題する(ここをクリック)」 をご利用ください。
技術士試験 令和4年度(2022年) 問13(基礎科目「解析に関するもの」 問1) (訂正依頼・報告はこちら)
正解!素晴らしいです
残念...
この過去問の解説 (3件)
01
微分、導関数に関する問題です。
差分Δが2乗になるのは、分子も関数の2乗になっていなければならないです。
微分の定義そのものの問題でした。
参考になった数17
この解説の修正を提案する
02
基本的な導関数の差分表現の理解度について試す課題です。
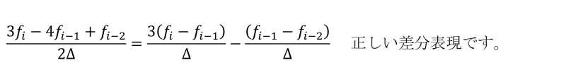
①は定義上、まったく正しいです。⓶は、(3fi-3fi-1)と( fi-1-fi-2)に分解すれば、2Δのときには正しい表現となります。③も2Δのときには正しいです。④は間違っています。⑤は①と同様に、Δ幅のときには正しい表現です。
式を分解すると( fi+1-fi)から( fi-fi-1)を引くことになり、導関数が成り立ちません(間違いとなります)。
導関数についても内容を理解しておけば、容易な問題です。
参考になった数10
この解説の修正を提案する
03
x = xiにおける導関数df/dxの差分表現に関する問題です。
導関数は微分係数変化を表す係数です。
正
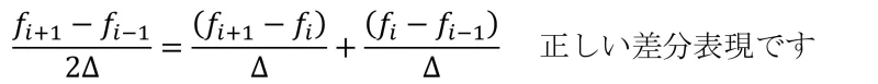
差分表現の定義通りです。
正
正しい差分表現です
正
正しい差分表現です
誤
差分表現には2Δ必要です。
正
差分表現の定義通りです。
参考になった数0
この解説の修正を提案する
前の問題(問12)へ
令和4年度(2022年) 問題一覧
次の問題(問14)へ