図( a )に示すような上下に張力Tで張られた糸の中央に物体が取り付けられた系の振動を考える。糸の長さは2L、物体の質量はmである。図( a )の拡大図に示すように、物体の横方向の変位をxとし、そのときの糸の傾きをθとすると、復元力は2Tsinθと表され、運動方程式よりこの系の固有振動数faを求めることができる。同様に、図( b )に示すような上下に張力Tで張られた長さ4Lの糸の中央に質量2mの物体が取り付けられた系があり、この系の固有振動数をfbとする。faとfbの比として適切なものはどれか。ただし、どちらの系でも、糸の質量、及び物体の大きさは無視できるものとする。また、物体の鉛直方向の変位はなく、振動している際の張力変動は無視することができ、変位xと傾きθは微小なものとみなしてよい。
図( a )に示すような上下に張力Tで張られた糸の中央に物体が取り付けられた系の振動を考える。糸の長さは2L、物体の質量はmである。図( a )の拡大図に示すように、物体の横方向の変位をxとし、そのときの糸の傾きをθとすると、復元力は2Tsinθと表され、運動方程式よりこの系の固有振動数faを求めることができる。同様に、図( b )に示すような上下に張力Tで張られた長さ4Lの糸の中央に質量2mの物体が取り付けられた系があり、この系の固有振動数をfbとする。faとfbの比として適切なものはどれか。ただし、どちらの系でも、糸の質量、及び物体の大きさは無視できるものとする。また、物体の鉛直方向の変位はなく、振動している際の張力変動は無視することができ、変位xと傾きθは微小なものとみなしてよい。
この過去問の解説 (3件)
01
前提を整理します。
張力を T、片側の糸の長さを L(全長 2L)、中央の質点の質量を m とします。
小さな横振動では、左右の糸の復元力から有効バネ定数 k=2T/L とみなせるので、
角振動数は
ω=√(k/m)=√(2T/(mL))
したがって振動数は
f=ω/(2π)=(1/2π)√(2T/(mL)) です。
ケースa:m, L のとき
fa=(1/2π)√(2T/(mL))
ケースb:m→2m、L→2L のとき
fb=(1/2π)√(2T/((2m)(2L)))=(1/2π)√(2T/(4mL))
= (1/2)·(1/2π)√(2T/(mL)) = (1/2)fa
よって比は
fa:fb = fa:(1/2)fa = 2:1 となります。
本選択肢が正解です。
微分方程式で近似して求めるものですが、固有振動数の公式を覚えてください。
・「f=(1/2π)√(2T/(mL))」が公式です。
・m と L を同時に2倍にすると、分母が4倍になり振動数は1/2倍となります。
・比だけ知りたい場合、共通の 1/2π は消して考えると早いです。
参考になった数16
この解説の修正を提案する
02
運動方程式に関する問題であり、この問題では単振動微分方程式 を用います。
これらから、右のような式が導かれます::m・d2 y/dt2 = −(2T/L) y。
従って、振動数ωは√(2T/mL)となり、振動数 f は f=ω/(2π) です。
糸長は2Lで質量が2mですから(2×2=4)、
f は 1/√(mL) に比例するので fb = (1/2)fa となります。
fa と fb の比としては 2:1 ですから、これが正解です。
単振り子の周期の問題は、これからも出題される可能性があるかと思います。
参考になった数6
この解説の修正を提案する
03
上下に張力Tで張られた糸の中央に物体が取り付けられた系の固有振動数に関する問題です。
(a)の場合
物体質量mに関する運動方程式を立てます。
角振動数をωとします。
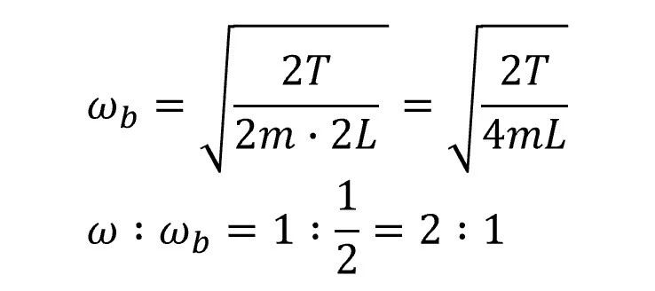
(b)の場合
物体質量mに関しては、運動方程式は(a)と同様です。
正
冒頭解説のとおりの計算結果です。
参考になった数0
この解説の修正を提案する
前の問題(問17)へ
令和4年度(2022年) 問題一覧
次の問題(問19)へ