技術士 過去問
令和6年度(2024年)
問13 (基礎科目「解析に関するもの」 問1)

このページは閲覧用ページです。
履歴を残すには、 「新しく出題する(ここをクリック)」 をご利用ください。

問題

技術士試験 令和6年度(2024年) 問13(基礎科目「解析に関するもの」 問1) (訂正依頼・報告はこちら)

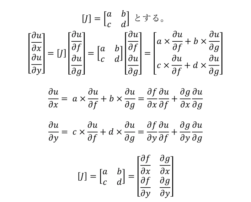
変数 f,g と変数 x,yの間には、
f=f(x,y)
g=g(x,y)
の関係があるとする。このとき、関数u(f,g)のf,g による偏微分と x,y による偏微分は次式によって関連付けられる。
問題文の画像
  • 解答選択肢の画像
  • 解答選択肢の画像
  • 解答選択肢の画像
  • 解答選択肢の画像
  • 解答選択肢の画像

次の問題へ

正解!素晴らしいです

残念...

この過去問の解説 (3件)

01

本問題のポイントは、合成関数の偏微分です。

関数u(f, g)は、u(f(x,y), g(x,y))となります。これは、2変数関数の中に2変数関数がある合成関数です。

 

合成関数uをxとyで偏微分すると下記のようになります。

選択肢4. 解答選択肢の画像

したがって本選択肢が正解です。

参考になった数30

02

ヤコビ行列は、変数の変換 (x,y) → (f,g)における「微分関係(変化率の関係)」を表す行列です。
この場合、(x, y) を少しだけ変化させたときに (f, g) がどのように変化するかを示します。

 

 

選択肢2. 解答選択肢の画像

関数 f、g は変数 x、y の関数であり、u は f、g の関数として次のように定義されます。

 f = f (x, y)

 g = g (x, y)

 u = u (f, g)

 

変数 (x, y) から (f, g) への変換におけるヤコビ行列 [J] は、

次のように表されます。

 [J] =

 [ (∂f/∂x)   (∂f/∂y) ]

 [ (∂g/∂x)  (∂g/∂y)]

 

偏微分の関係式(連鎖律)

因みにu を x, y で偏微分したものは、

ヤコビ行列 [J] と u の f、g に関する偏微分を使って次のように表されます。

Tは転置を示す。

 [ (∂u/∂x) ] = [J]T×[ (∂u/∂f) ]

 [ (∂u/∂y) ]             [ (∂u/∂g) ]

まとめ

したがって、ヤコビ行列 [J] の適切な表記は次のとおりです。

 [J] =

 [ (∂f/∂x)   (∂f/∂y) ]

 [ (∂g/∂x)  (∂g/∂y) ]

 

この行列は、(x, y) → (f, g) の変換における微分関係を表す基本的な形となります。

参考になった数2

03

ヤコビ行列に関する問題です。

選択肢4. 解答選択肢の画像

冒頭解説での計算結果です

参考になった数0