技術士 過去問
令和7年度(2025年)
問13 (基礎科目「解析に関するもの」 問1)
問題文
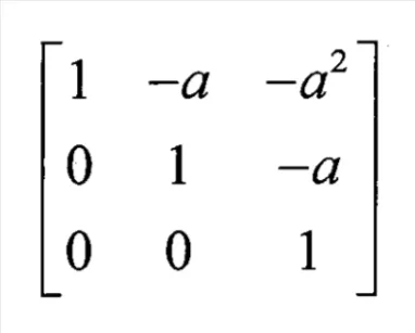
行列Aの逆行列として、最も適切なものはどれか。なお、αは0でない実数とする。
このページは閲覧用ページです。
履歴を残すには、 「新しく出題する(ここをクリック)」 をご利用ください。
問題
正解!素晴らしいです
残念...
MENU
あ
か
さ
た
な
は
ま
や
ら
あん摩マッサージ指圧師
1級管工事施工管理技士
1級建築施工管理技士
1級電気工事施工管理技士
1級土木施工管理技士
運行管理者(貨物)
2級ファイナンシャル・プランニング技能士(FP2級)
3級ファイナンシャル・プランニング技能士(FP3級)
貸金業務取扱主任者
危険物取扱者(乙4)
給水装置工事主任技術者
クレーン・デリック運転士
ケアマネジャー(介護支援専門員)
国内旅行業務取扱管理者
社会保険労務士(社労士)
大学入学共通テスト(国語)
大学入学共通テスト(地理歴史)
大学入学共通テスト(公民)
大学入学共通テスト(数学)
大学入学共通テスト(理科)
大学入学共通テスト(情報)
大学入学共通テスト(英語)
第三種電気主任技術者(電験三種)
宅地建物取引士(宅建士)
調剤報酬請求事務技能認定
賃貸不動産経営管理士
2級管工事施工管理技士
2級建築施工管理技士
2級電気工事施工管理技士
2級土木施工管理技士
JLPT(日本語能力)
建築物環境衛生管理技術者(ビル管理士)
問題文
このページは閲覧用ページです。
履歴を残すには、 「新しく出題する(ここをクリック)」 をご利用ください。
正解!素晴らしいです
残念...
この過去問の解説 (3件)
01
この問題は、逆行列をかけると単位行列になることを使って考えると分かりやすいです。
この選択肢が正解です。
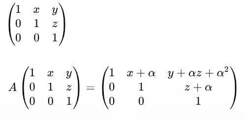
行列Aは上三角行列なので、逆行列も同じように次の形だと考えられます。
これをAとかけると、以下のようになります。
逆行列なら、これが単位行列になればよいので、
x+α=0
z+α=0
y+αz+α2=0
を満たせばよいです。
ここから、
x=−α
z=−α
y=0
となります。
参考になった数1
この解説の修正を提案する
02
行列Aの逆行列にを求める問題です。
行列と逆行列を掛けると、単位行列になることを利用して、逆行列を求めます。
正
冒頭解説の計算通りです。
参考になった数0
この解説の修正を提案する
03
逆行列を乗ずると単位行列になる法則を使って解く問題です。
この行列は上三角行列で、対角成分がすべて1なので、比較的簡単に逆行列が求まります。
与えられた行列Aの逆行列を想定し、第1行第2列の要素をx、第1行第3列の要素をy、第2行第3列の要素をzとすると、
x+α=0、z+α=0、y+αz+α2=0を満足すれば単位行列になるため、
正解は、x=-α、y=0、z=-αとなります。
この選択肢は不適切です。
この選択肢が適切で正解です。
この選択肢は不適切です。
この選択肢は不適切です。
この選択肢は不適切です。
出題されてから問題の意味から考えて解答を始めると時間が不足するため、事前に行列の基本的な解き方を身に付けておきましょう。
参考になった数0
この解説の修正を提案する
前の問題(問12)へ
令和7年度(2025年) 問題一覧
次の問題(問14)へ